一是分子分母的极限是否都等于零(或者无穷大);二是分子分母在限定的区域内是否分别可导;三是如果这两个条件都满足,接着求导并判断求导之后的极限是否存在。如果存在,直接得到答案。如果不存在,则说明此种未定式不可用洛必达法则来解决。如果不确定,即结果仍然为未定式,再在验证的基础上继续使用洛必达法则。

一、洛必达法则3个使用条件
1、分子分母同趋向于0或无穷大 。
2、分子分母在限定的区域内是否分别可导。
3、当两个条件都满足时,再求导并判断求导之后的极限是否存在:若存在,直接得到答案;若不存在,则说明此种未定式无法用洛必达法则解决;如果不确定,即结果仍然为未定式,再在验证的基础上继续使用洛必达法则。

二、洛必达法则的由来
洛必达法则(L'Hôpital's rule)是在一定条件下通过分子分母分别求导再求极限来确定未定式值的方法。法国数学家洛必达(Marquis de l'Hôpital)在他1696年的著作《阐明曲线的无穷小分析》(Analyse des infiniment petits pour l'intelligence des lignes courbes)发表了这法则,因此以他为命名。但一般认为这法则是由瑞士数学家约翰·伯努利(Johann Bernoulli)首先发现,因此也被叫作伯努利法则(Bernoulli's rule)。
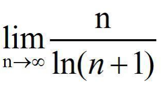
三、洛必达法则公示及应用


四、使用洛必达法则的注意事项
1、求极限之前,先要检查是否满足0/0或∞/∞型构型,不然滥用洛必达法则会出错。当不存在时(不包括∞情形),就无法用洛必达法则,这时称洛必达法则不适用,得从另外途径求极限,例如利用泰勒公式去求解。
2、当条件符合时,洛必达法可以重复多次使用,直到求出极限为止。
3、洛必达法则是求未定式极限的有效工具,如果只用洛必达法则,往往计算比较繁琐,可以与其他方法相结合。
4、洛必达法则常用于求不定式极限,可以通过相应的变换转换成两种基本的不定式形式来求解。











